rueki
Feature Scaling - Standardization(표준화) / Normalization(정규화) 본문
머신러닝/파이썬 머신러닝 완벽가이드 정리
Feature Scaling - Standardization(표준화) / Normalization(정규화)
륵기 2020. 1. 21. 22:51728x90
반응형
Feature Scaling : 서로 다른 변수의 값 범위를 일정한 수준으로 맞추는 작업
- 표준화와 정규화가 있다.
표준화 (Standardization) : 데이터의 피처 각각이 평균이 0이고 분산이 1인 가우시안 정규 분포를
가진 값으로 변환하는 것

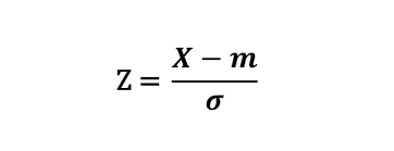
표준 정규분포 Z는 변수 X에서 평균을 뺀 값에 표준편차로 나누어 주는 것을 말한다.
정규화 (Normalization) : 서로 다른 Feature의 크기를 통일하기 위해 크기를 변환
모두 최소 0 , 최대 1의 값으로 변환하는 것 -> 동일한 크기 단위로 변수 비교하기 위해

기존 변수 X에서 X의 최소값을 뺀 값을 feature X의 최대값과 최소값의 차이로 나눈 값으로 변환된다.
StandardScaler
: 표준화를 지원하기 위한 클래스, 평균이 0과 표준편차가 1이 되도록 변환.
모든 특성들이 같은 스케일을 가지게 된다.
MinMaxScaler
: 데이터 값을 0과 1사이의 범위 값으로 변환 (음수 존재 시, -1 ~ 1fh qusghks)
-> 분포가 가우시안 분포가 아닌 경우에 MinMaxScaler 사용할 수 있다.
728x90
반응형
'머신러닝 > 파이썬 머신러닝 완벽가이드 정리' 카테고리의 다른 글
| 평가 - 오차 행렬(Confusioin matrix) (0) | 2020.01.26 |
|---|---|
| 평가 - 정확도(Accuracy) (0) | 2020.01.26 |
Comments