rueki
Opencv tutorial(python) Template matching 본문
Object Detection을 향한 첫 걸음인 템플릿 매칭에 대해서 이번에 알아보도록 하겠다.
템플릿 매칭은 입력영상에서 작은 크기의 부분 영상 위치를 찾아내고 싶은 경우에 사용하며,
템플릿은 찾고자하는 작은크기의 영상이다.
찾아내는 과정으로는 템플릿을 입력 영상과의 유사도 혹은 비 유사도를 계산하게 되는데,
유사도를 계산하는 경우에는 비슷한 부분에서 값이 크게 나올 것이다.
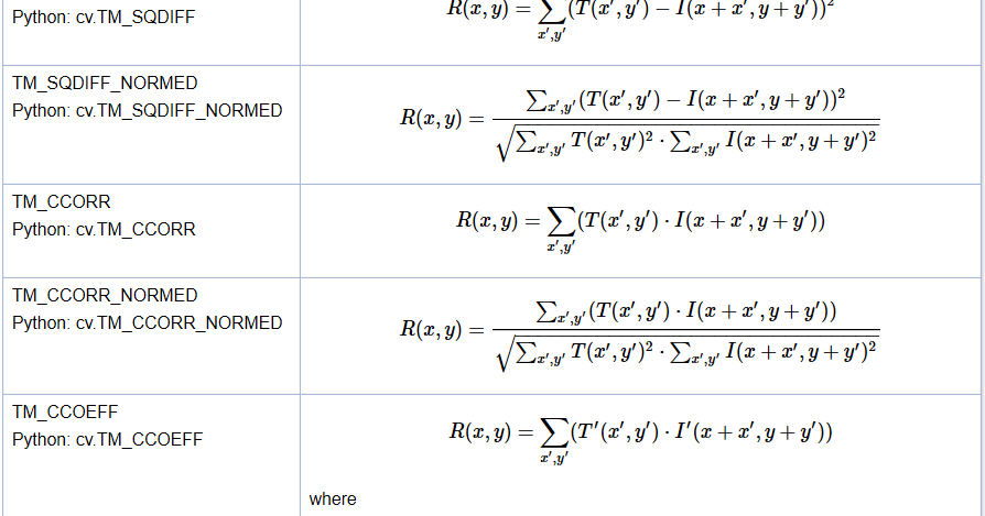
opencv 에서는 6가지 method를 소개한다.
SQDIFF : 제곱차 매칭 방법 , 유사할 수록 작은 값을 가진다.
CCORR : 상관 관계 매칭방법, 유사할 수록 큰 양수값을 가진다.
CCOEFF : 상관 계수 매칭방법, 비교할 두 영상을 평균밝기로 보정 후에 상관관계 매칭 방법
위의 세가지 method에서 각각 정규화 수식이 추가된 SQDIFF_NORMED, CCORR_NORMED, CCOEFF_NORMED 방법이
추가로 제공된다.

이 중에서 CCOEFF_NORMED가 좋은 결과를 제공하는 것으로 알려져있으나, 단점으로는 실제 동작시에 계산 량이 많을 수가 있다.
SQDIFF에서는 최솟값 위치를 매칭이 잘 된 위치로 선택해야하며, CCORR,CCOEFF에서는 결과행렬에서 최댓값 위치가 가장 매칭이 잘 된 위치이다.
이제 파이썬 코드를 통해 알아보자.
import cv2
import numpy as np
import matplotlib.pyplot as plt
%matplotlib inline
#전체 사진, 즉 입력영상 불러오기
full = cv2.imread('파일경로')
full = cv2.cvtColor(full, cv2.COLOR_BGR2RGB)
#이미지 시각화
plt.imshow(full)

이제 템플릿으로 사용할 강아지 얼굴을 불러와보자.
#얼굴부분만 인식할 사진 불러오기
face = cv2.imread('/content/drive/My Drive/vision/DATA/sammy_face.jpg')
#이미지 시각화하기
face = cv2.cvtColor(face,cv2.COLOR_BGR2RGB)
plt.imshow(face)

이제 각각의 method들을 적용해보자.
methods = ['cv2.TM_CCOEFF','cv2.TM_CCOEFF_NORMED', 'cv2.TM_CCORR','cv2.TM_CCORR_NORMED','cv2.TM_SQDIFF','cv2.TM_SQDIFF']
for m in methods:
full_copy = full.copy()
method = eval(m)
#template matching , 그레이 스케일로 반환하며, 템플릿과 얼마나 일치하는지 나타낸다.
res = cv2.matchTemplate(full_copy, face, method)
min_val,max_val, min_loc, max_loc
if method in [cv2.TM_SQDIFF,cv2.TM_SQDIFF_NORMED]:
top_left = min_loc
else:
#ccoeff, ccorr에서는 최대값 위치가 가장 매칭이 잘 된 위치이다.
top_left = max_loc
height, width, channels = face.shape
#사각형을 그리기위한 오른쪽 밑 지점 잡기
bottom_right = (top_left[0] + width , top_left[1]+height)
cv2.rectangle(full_copy, top_left, bottom_right, (255,0,0),10)
plt.subplot(121)
#템플릿 매칭 결과 출력
plt.imshow(res)
plt.title('heatmap of template matching)
plt.subplot(122)
#직사각형 boundary 그린 것 출력
plt.imshow(full_copy)
plt.subtitle(m)
plt.show()
print('\n')






상관계수를 통해서 가장 높게 발견되는 지점을 찾는 것과, 제곱계산법을 이용해서 낮은지점 찾는 것이 제일 매칭이
잘 된것으로 보인다.
'python' 카테고리의 다른 글
| Variable Scope(변수 범위) (0) | 2021.01.01 |
|---|---|
| OpenCV로 두 가지 영상 합성해서 이어붙이기 (0) | 2020.12.02 |
| Opencv tutorial(python) 이미지 Thresholding (0) | 2020.06.25 |
| Opencv tutorial(python) 1. 이미지 읽기, 컬러 채널 변경하기 (3) | 2020.06.24 |
| Numpy - BroadCasting (0) | 2020.06.01 |